Skip to content
Secondary-Menu-Icons-01

CALENDAR

Secondary-Menu-Icons-02

PORTALS

Secondary-Menu-Icons-03

WEBMAIL

  • Our School
    • Our School
    • Staff Directory
    • Careers
  • Board Members
  • Secondary Education
    • Secondary Education
    • Student Services
    • Guidance
    • Student Organizations
    • Cooperative Education
WACTC
  • Adult Education
    • Adult Education
    • Cares Act
    • HEERF Student Grant Notifications
    • HEERF Quarterly Budget and Expenditure Reports
  • Adult Health Sciences
  • Contact Us

October 2024 – JOC

By Sierra ExpertsIn Academic, Agendas, JOCPosted October 22, 2024

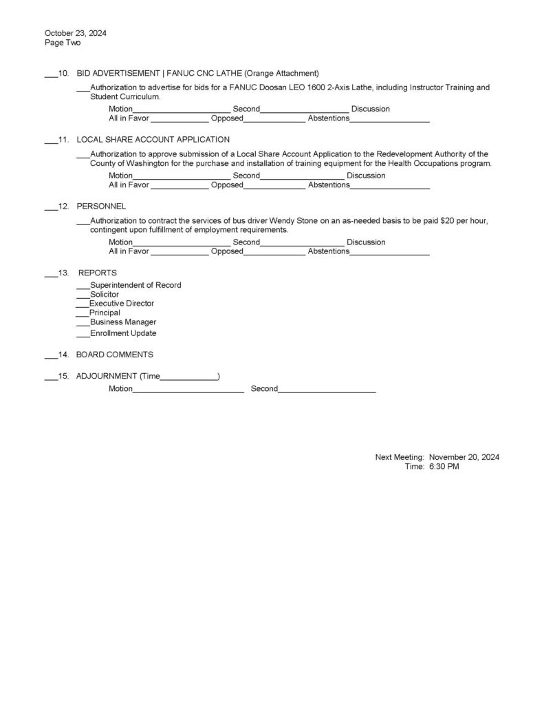
October 23, 2024 Agenda.

Agenda October 23 2024_Page_1
Agenda October 23 2024_Page_2

Post navigation

Previous
Previous

Part-Time Group A & B Clinical

Next
Next

September 2024 – JOC

Contact us

724-746-2890
724-746-6966
  • 688 Western Avenue | Canonsburg, PA 15317

Follow Us

Facebook Instagram X-twitter

© Western Area Career and Technology Center, hosted by Sierra Experts.